
| Mixture | % composition of azeotrope | Boiling point(pressure = 1 atm) |
|---|---|---|
| Nitric acid-Water | 68% Nitric acid | 125.5°C |
| Acetic acid-Pyridine | 65%Pyridine | 139.0°C |
| Chloroform-Acetone | 80% Pyridine | 65.0°C |
| Hydrogen chloride-Water | 79.8% Water | 108.6°C |
Examples :
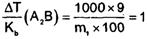
Ex1:
Sol:

Ex2:
Sol:
